Appendix D — Supplementary Material for Chapter 3
Artificial Intelligence, Trustworthy AI, Counterfactual Explanations, Algorithmic Recourse
D.1 Detailed Results: Synthetic Data
D.1.1 Line Charts
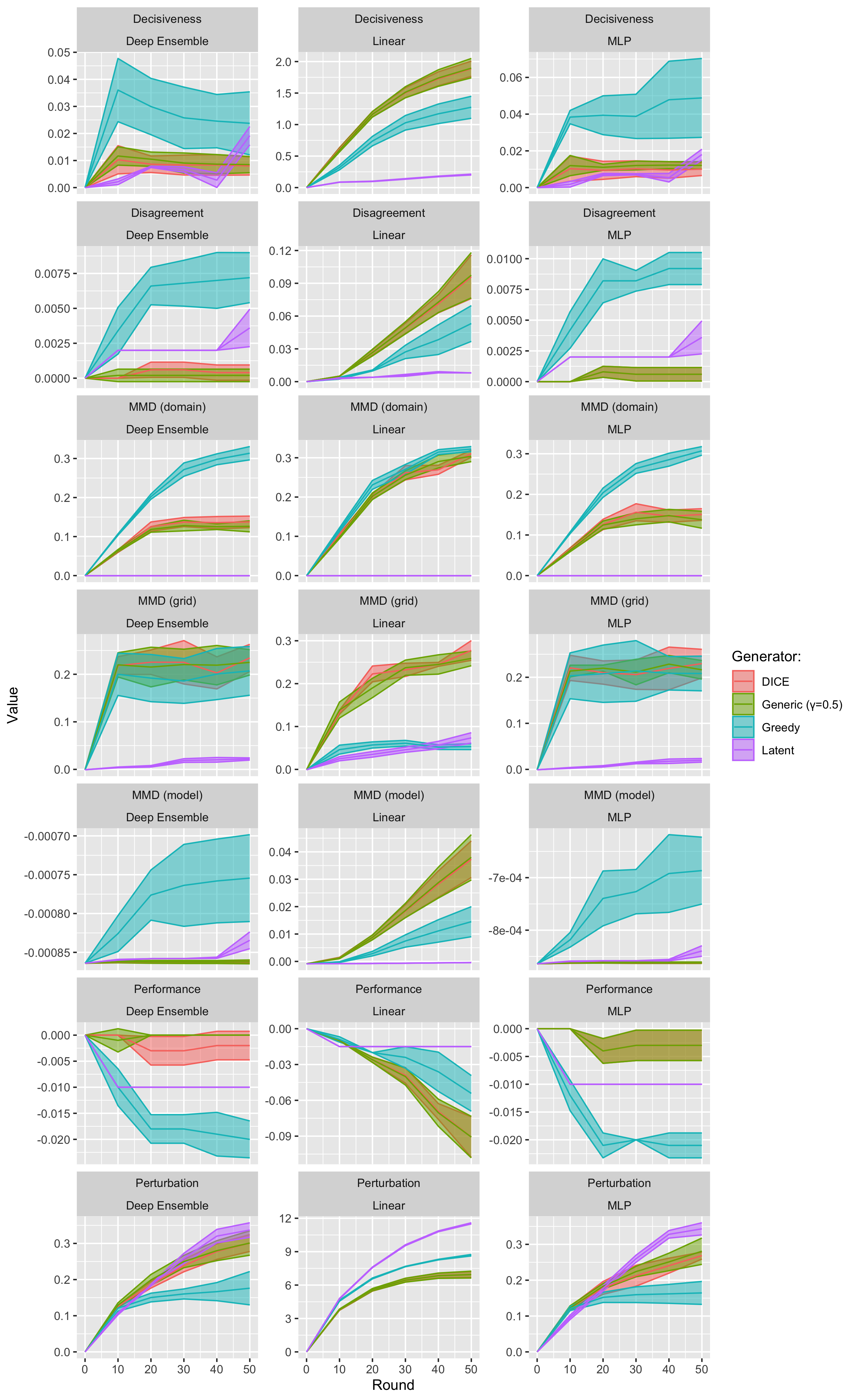
The evolution of the evaluation metrics over the course of the experiment is shown for different datasets in Figure D.1 to Figure D.4.
D.1.2 Error Bar Charts
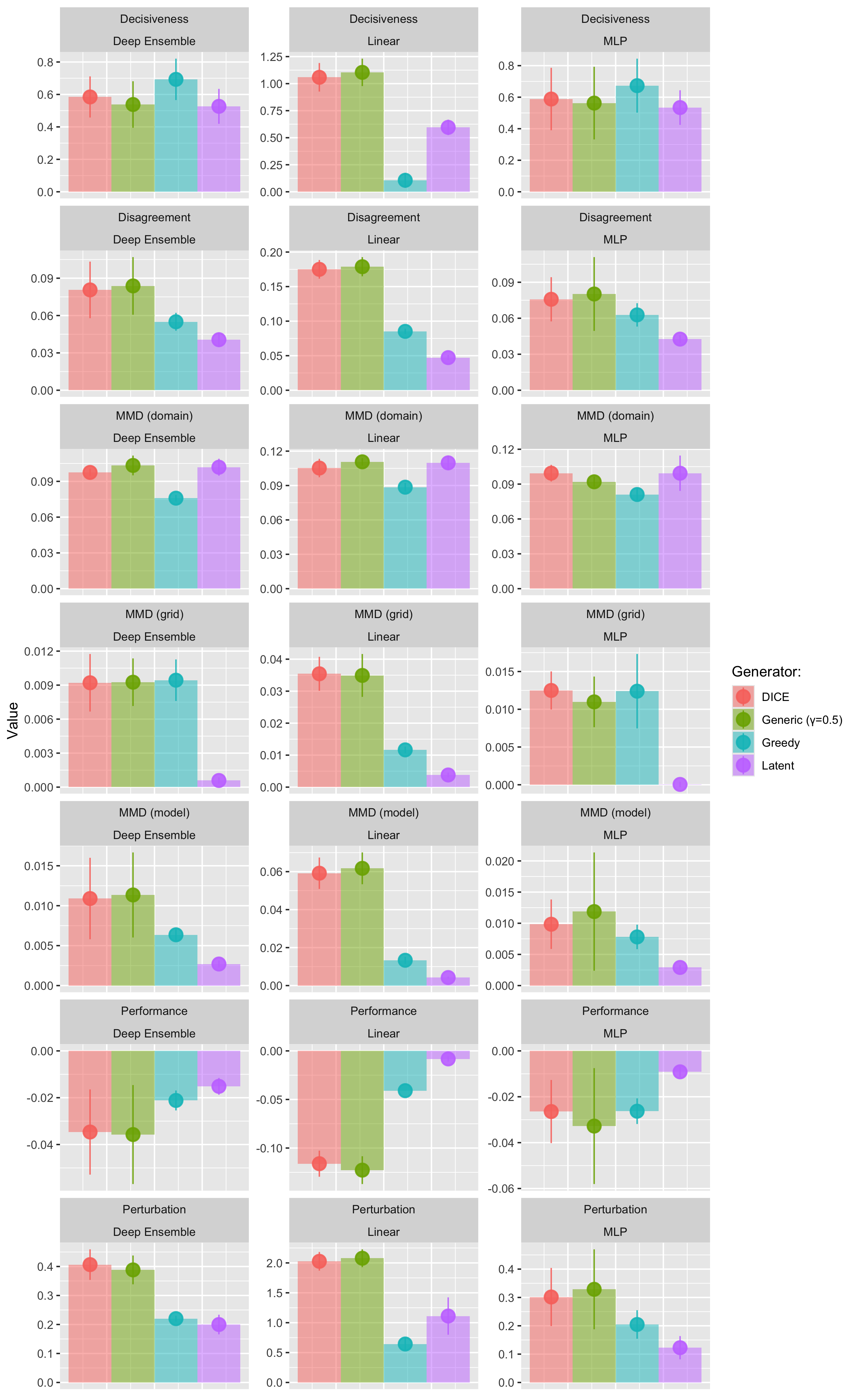
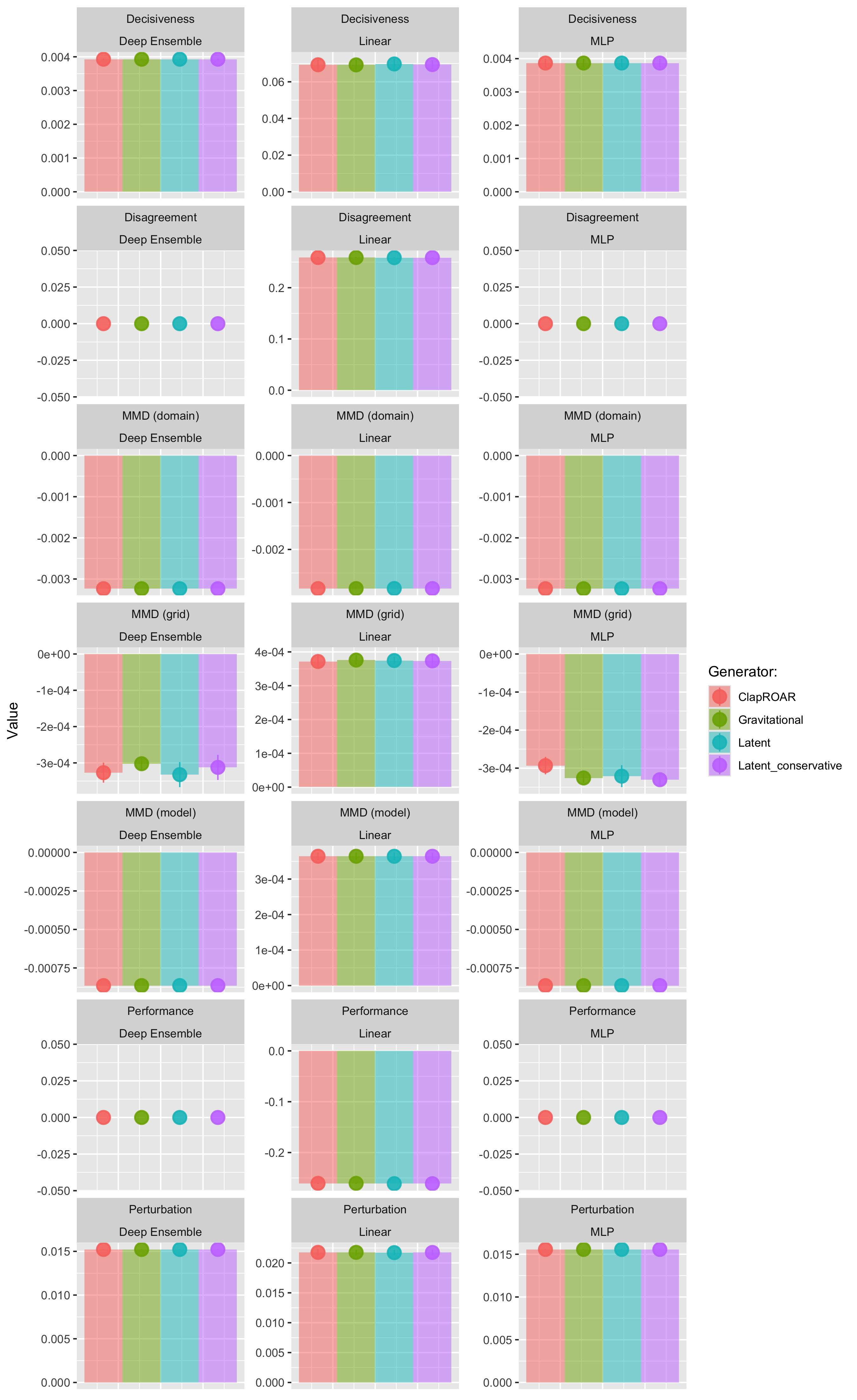
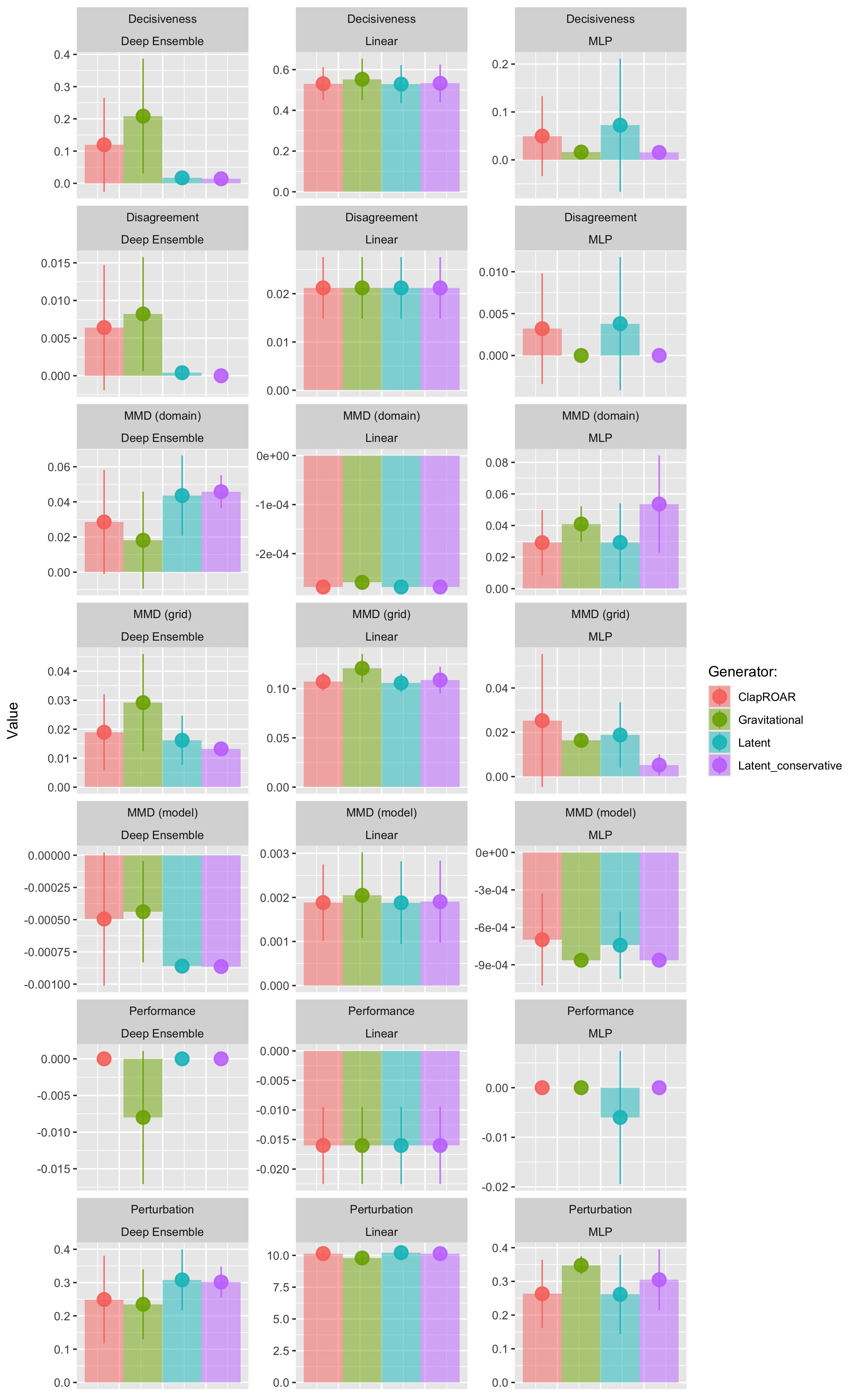
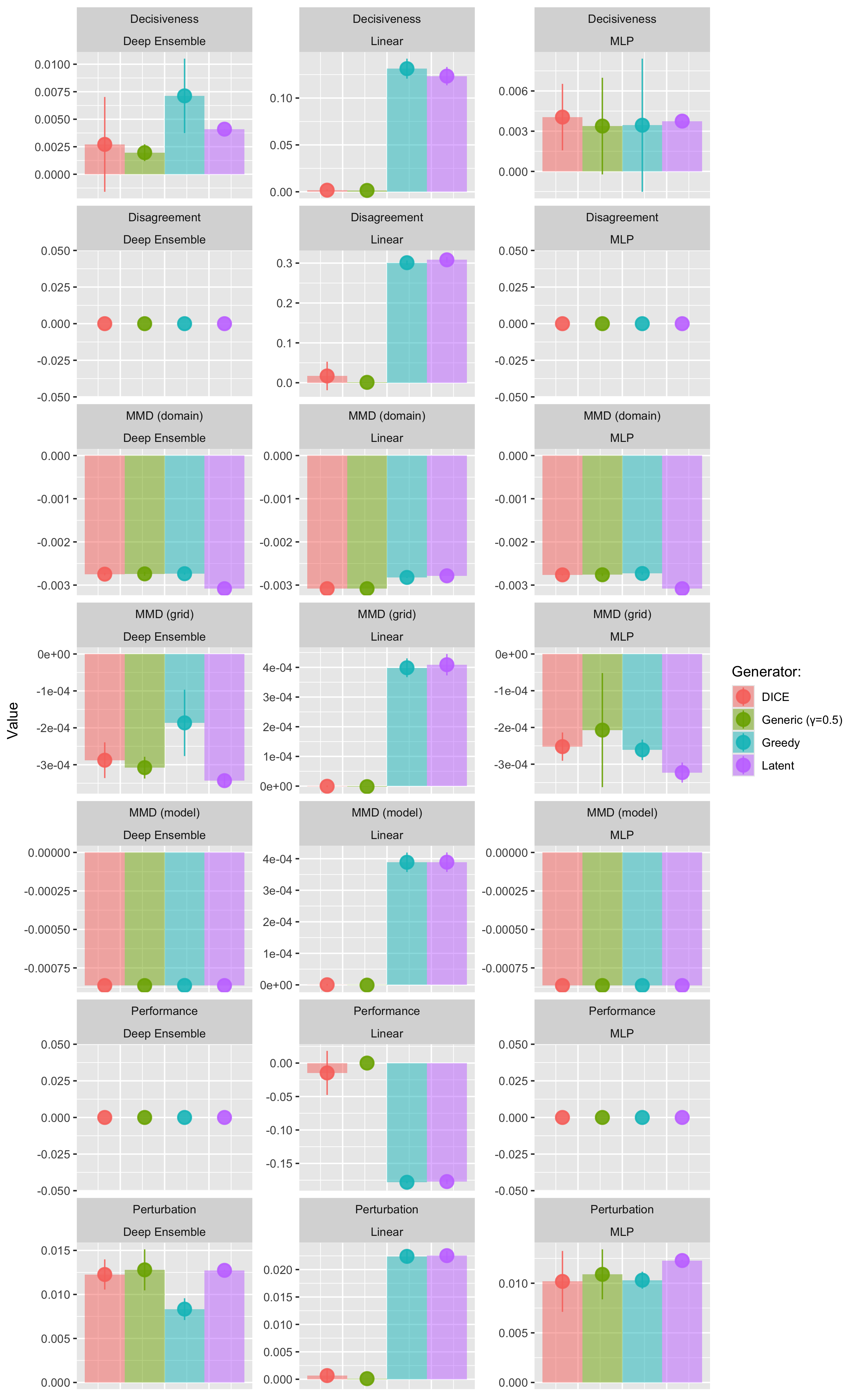
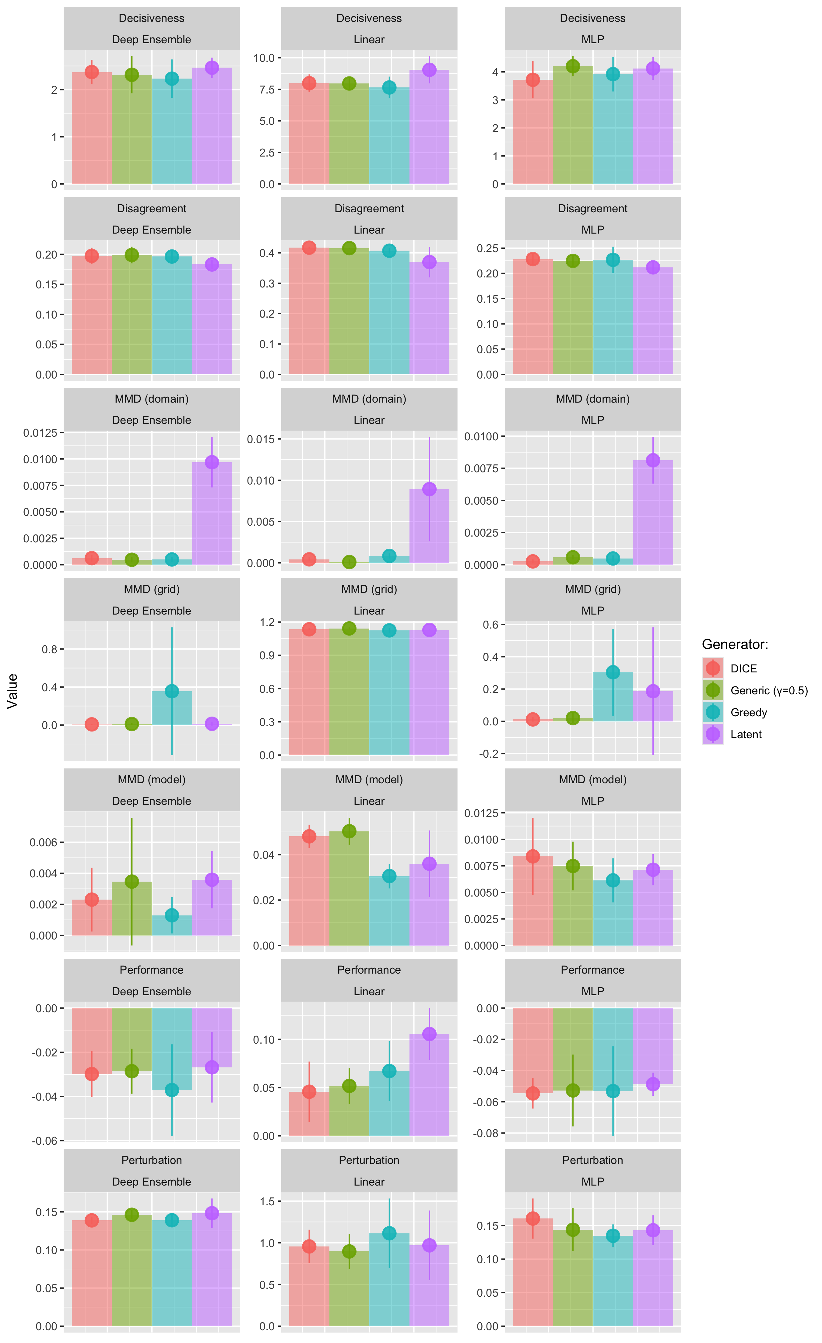
The evaluation metrics at the end of the experiment are shown for different datasets in Figure D.5 to Figure D.8.
D.1.3 Statistical Significance
Table D.1 presents the tests for statistical significance of the estimated MMD metrics.
| Metric | Data | Generator | Model | p-value |
|---|---|---|---|---|
| MMD | Circles | DICE | Deep Ensemble | 0.988 |
| MMD | Circles | DICE | Linear | 1.0 |
| MMD | Circles | DICE | MLP | 0.99 |
| MMD | Circles | Generic (γ=0.5) | Deep Ensemble | 0.996 |
| MMD | Circles | Generic (γ=0.5) | Linear | 0.996 |
| MMD | Circles | Generic (γ=0.5) | MLP | 0.99 |
| MMD | Circles | Greedy | Deep Ensemble | 0.992 |
| MMD | Circles | Greedy | Linear | 1.0 |
| MMD | Circles | Greedy | MLP | 0.994 |
| MMD | Circles | Latent | Deep Ensemble | 0.9975 |
| MMD | Circles | Latent | Linear | 0.9925 |
| MMD | Circles | Latent | MLP | 1.0 |
| MMD | Linearly Separable | DICE | Deep Ensemble | 0.0 |
| MMD | Linearly Separable | DICE | Linear | 0.0 |
| MMD | Linearly Separable | DICE | MLP | 0.0 |
| MMD | Linearly Separable | Generic (γ=0.5) | Deep Ensemble | 0.0 |
| MMD | Linearly Separable | Generic (γ=0.5) | Linear | 0.0 |
| MMD | Linearly Separable | Generic (γ=0.5) | MLP | 0.0 |
| MMD | Linearly Separable | Greedy | Deep Ensemble | 0.0 |
| MMD | Linearly Separable | Greedy | Linear | 0.0 |
| MMD | Linearly Separable | Greedy | MLP | 0.0 |
| MMD | Linearly Separable | Latent | Deep Ensemble | 0.748 |
| MMD | Linearly Separable | Latent | Linear | 0.768 |
| MMD | Linearly Separable | Latent | MLP | 0.69 |
| MMD | Moons | DICE | Deep Ensemble | 0.0 |
| MMD | Moons | DICE | Linear | 0.0 |
| MMD | Moons | DICE | MLP | 0.0 |
| MMD | Moons | Generic (γ=0.5) | Deep Ensemble | 0.0 |
| MMD | Moons | Generic (γ=0.5) | Linear | 0.0 |
| MMD | Moons | Generic (γ=0.5) | MLP | 0.0 |
| MMD | Moons | Greedy | Deep Ensemble | 0.0 |
| MMD | Moons | Greedy | Linear | 0.0 |
| MMD | Moons | Greedy | MLP | 0.0 |
| MMD | Moons | Latent | Deep Ensemble | 0.0 |
| MMD | Moons | Latent | Linear | 0.0 |
| MMD | Moons | Latent | MLP | 0.0 |
| MMD | Overlapping | DICE | Deep Ensemble | 0.0 |
| MMD | Overlapping | DICE | Linear | 0.0 |
| MMD | Overlapping | DICE | MLP | 0.0 |
| MMD | Overlapping | Generic (γ=0.5) | Deep Ensemble | 0.0 |
| MMD | Overlapping | Generic (γ=0.5) | Linear | 0.0 |
| MMD | Overlapping | Generic (γ=0.5) | MLP | 0.0 |
| MMD | Overlapping | Greedy | Deep Ensemble | 0.0 |
| MMD | Overlapping | Greedy | Linear | 0.0 |
| MMD | Overlapping | Greedy | MLP | 0.0 |
| MMD | Overlapping | Latent | Deep Ensemble | 0.0 |
| MMD | Overlapping | Latent | Linear | 0.0 |
| MMD | Overlapping | Latent | MLP | 0.0 |
| PP MMD | Circles | DICE | Deep Ensemble | 0.996 |
| PP MMD | Circles | DICE | Linear | 0.796 |
| PP MMD | Circles | DICE | MLP | 0.9975 |
| PP MMD | Circles | Generic (γ=0.5) | Deep Ensemble | 1.0 |
| PP MMD | Circles | Generic (γ=0.5) | Linear | 0.996 |
| PP MMD | Circles | Generic (γ=0.5) | MLP | 0.992 |
| PP MMD | Circles | Greedy | Deep Ensemble | 1.0 |
| PP MMD | Circles | Greedy | Linear | 0.0 |
| PP MMD | Circles | Greedy | MLP | 0.996 |
| PP MMD | Circles | Latent | Deep Ensemble | 0.9975 |
| PP MMD | Circles | Latent | Linear | 0.0 |
| PP MMD | Circles | Latent | MLP | 0.994 |
| PP MMD | Linearly Separable | DICE | Deep Ensemble | 0.9525 |
| PP MMD | Linearly Separable | DICE | Linear | 0.0 |
| PP MMD | Linearly Separable | DICE | MLP | 0.964 |
| PP MMD | Linearly Separable | Generic (γ=0.5) | Deep Ensemble | 0.958 |
| PP MMD | Linearly Separable | Generic (γ=0.5) | Linear | 0.0 |
| PP MMD | Linearly Separable | Generic (γ=0.5) | MLP | 0.944 |
| PP MMD | Linearly Separable | Greedy | Deep Ensemble | 0.716 |
| PP MMD | Linearly Separable | Greedy | Linear | 0.0 |
| PP MMD | Linearly Separable | Greedy | MLP | 0.684 |
| PP MMD | Linearly Separable | Latent | Deep Ensemble | 0.856 |
| PP MMD | Linearly Separable | Latent | Linear | 0.46 |
| PP MMD | Linearly Separable | Latent | MLP | 0.852 |
| PP MMD | Moons | DICE | Deep Ensemble | 0.865 |
| PP MMD | Moons | DICE | Linear | 0.0 |
| PP MMD | Moons | DICE | MLP | 0.87 |
| PP MMD | Moons | Generic (γ=0.5) | Deep Ensemble | 0.678 |
| PP MMD | Moons | Generic (γ=0.5) | Linear | 0.0 |
| PP MMD | Moons | Generic (γ=0.5) | MLP | 0.84 |
| PP MMD | Moons | Greedy | Deep Ensemble | 0.388 |
| PP MMD | Moons | Greedy | Linear | 0.0 |
| PP MMD | Moons | Greedy | MLP | 0.346 |
| PP MMD | Moons | Latent | Deep Ensemble | 0.902 |
| PP MMD | Moons | Latent | Linear | 0.004 |
| PP MMD | Moons | Latent | MLP | 0.91 |
| PP MMD | Overlapping | DICE | Deep Ensemble | 0.0 |
| PP MMD | Overlapping | DICE | Linear | 0.0 |
| PP MMD | Overlapping | DICE | MLP | 0.002 |
| PP MMD | Overlapping | Generic (γ=0.5) | Deep Ensemble | 0.004 |
| PP MMD | Overlapping | Generic (γ=0.5) | Linear | 0.0 |
| PP MMD | Overlapping | Generic (γ=0.5) | MLP | 0.002 |
| PP MMD | Overlapping | Greedy | Deep Ensemble | 0.002 |
| PP MMD | Overlapping | Greedy | Linear | 0.0 |
| PP MMD | Overlapping | Greedy | MLP | 0.004 |
| PP MMD | Overlapping | Latent | Deep Ensemble | 0.034 |
| PP MMD | Overlapping | Latent | Linear | 0.012 |
| PP MMD | Overlapping | Latent | MLP | 0.034 |
| PP MMD (grid) | Circles | DICE | Deep Ensemble | 0.762 |
| PP MMD (grid) | Circles | DICE | Linear | 0.814 |
| PP MMD (grid) | Circles | DICE | MLP | 0.7375 |
| PP MMD (grid) | Circles | Generic (γ=0.5) | Deep Ensemble | 0.89 |
| PP MMD (grid) | Circles | Generic (γ=0.5) | Linear | 0.994 |
| PP MMD (grid) | Circles | Generic (γ=0.5) | MLP | 0.688 |
| PP MMD (grid) | Circles | Greedy | Deep Ensemble | 0.568 |
| PP MMD (grid) | Circles | Greedy | Linear | 0.0 |
| PP MMD (grid) | Circles | Greedy | MLP | 0.776 |
| PP MMD (grid) | Circles | Latent | Deep Ensemble | 1.0 |
| PP MMD (grid) | Circles | Latent | Linear | 0.0 |
| PP MMD (grid) | Circles | Latent | MLP | 0.996 |
| PP MMD (grid) | Linearly Separable | DICE | Deep Ensemble | 0.0 |
| PP MMD (grid) | Linearly Separable | DICE | Linear | 0.0 |
| PP MMD (grid) | Linearly Separable | DICE | MLP | 0.0 |
| PP MMD (grid) | Linearly Separable | Generic (γ=0.5) | Deep Ensemble | 0.0 |
| PP MMD (grid) | Linearly Separable | Generic (γ=0.5) | Linear | 0.0 |
| PP MMD (grid) | Linearly Separable | Generic (γ=0.5) | MLP | 0.0 |
| PP MMD (grid) | Linearly Separable | Greedy | Deep Ensemble | 0.0 |
| PP MMD (grid) | Linearly Separable | Greedy | Linear | 0.0 |
| PP MMD (grid) | Linearly Separable | Greedy | MLP | 0.0 |
| PP MMD (grid) | Linearly Separable | Latent | Deep Ensemble | 0.0 |
| PP MMD (grid) | Linearly Separable | Latent | Linear | 0.0 |
| PP MMD (grid) | Linearly Separable | Latent | MLP | 0.0 |
| PP MMD (grid) | Moons | DICE | Deep Ensemble | 0.1225 |
| PP MMD (grid) | Moons | DICE | Linear | 0.0 |
| PP MMD (grid) | Moons | DICE | MLP | 0.01 |
| PP MMD (grid) | Moons | Generic (γ=0.5) | Deep Ensemble | 0.016 |
| PP MMD (grid) | Moons | Generic (γ=0.5) | Linear | 0.0 |
| PP MMD (grid) | Moons | Generic (γ=0.5) | MLP | 0.02 |
| PP MMD (grid) | Moons | Greedy | Deep Ensemble | 0.006 |
| PP MMD (grid) | Moons | Greedy | Linear | 0.0 |
| PP MMD (grid) | Moons | Greedy | MLP | 0.0 |
| PP MMD (grid) | Moons | Latent | Deep Ensemble | 0.114 |
| PP MMD (grid) | Moons | Latent | Linear | 0.004 |
| PP MMD (grid) | Moons | Latent | MLP | 0.174 |
| PP MMD (grid) | Overlapping | DICE | Deep Ensemble | 0.002 |
| PP MMD (grid) | Overlapping | DICE | Linear | 0.0 |
| PP MMD (grid) | Overlapping | DICE | MLP | 0.0 |
| PP MMD (grid) | Overlapping | Generic (γ=0.5) | Deep Ensemble | 0.0 |
| PP MMD (grid) | Overlapping | Generic (γ=0.5) | Linear | 0.0 |
| PP MMD (grid) | Overlapping | Generic (γ=0.5) | MLP | 0.0 |
| PP MMD (grid) | Overlapping | Greedy | Deep Ensemble | 0.0 |
| PP MMD (grid) | Overlapping | Greedy | Linear | 0.0 |
| PP MMD (grid) | Overlapping | Greedy | MLP | 0.002 |
| PP MMD (grid) | Overlapping | Latent | Deep Ensemble | 0.208 |
| PP MMD (grid) | Overlapping | Latent | Linear | 0.02 |
| PP MMD (grid) | Overlapping | Latent | MLP | 0.342 |
D.2 Detailed Results: Real-World Data
D.2.1 Line Charts
The evolution of the evaluation metrics over the course of the experiment is shown for different datasets in Figure D.9 to Figure D.11.
D.2.2 Error Bar Charts
The evaluation metrics at the end of the experiment are shown for different datasets in Figure D.12 to Figure D.14.
D.2.3 Statistical Significance
Table D.2 presents the tests for statistical significance of the estimated MMD metrics.
| Metric | Data | Generator | Model | p-value |
|---|---|---|---|---|
| MMD | Cal Housing | DICE | Deep Ensemble | 0.0 |
| MMD | Cal Housing | DICE | Linear | 0.0 |
| MMD | Cal Housing | DICE | MLP | 0.0 |
| MMD | Cal Housing | Generic (γ=0.5) | Deep Ensemble | 0.0 |
| MMD | Cal Housing | Generic (γ=0.5) | Linear | 0.0 |
| MMD | Cal Housing | Generic (γ=0.5) | MLP | 0.0 |
| MMD | Cal Housing | Greedy | Deep Ensemble | 0.0 |
| MMD | Cal Housing | Greedy | Linear | 0.0 |
| MMD | Cal Housing | Greedy | MLP | 0.0 |
| MMD | Cal Housing | Latent | Deep Ensemble | 0.0 |
| MMD | Cal Housing | Latent | Linear | 0.0 |
| MMD | Cal Housing | Latent | MLP | 0.0 |
| MMD | Credit Default | DICE | Deep Ensemble | 1.0 |
| MMD | Credit Default | DICE | Linear | 1.0 |
| MMD | Credit Default | DICE | MLP | 1.0 |
| MMD | Credit Default | Generic (γ=0.5) | Deep Ensemble | 1.0 |
| MMD | Credit Default | Generic (γ=0.5) | Linear | 1.0 |
| MMD | Credit Default | Generic (γ=0.5) | MLP | 1.0 |
| MMD | Credit Default | Greedy | Deep Ensemble | 1.0 |
| MMD | Credit Default | Greedy | Linear | 1.0 |
| MMD | Credit Default | Greedy | MLP | 1.0 |
| MMD | Credit Default | Latent | Deep Ensemble | 0.0 |
| MMD | Credit Default | Latent | Linear | 1.0 |
| MMD | Credit Default | Latent | MLP | 0.0 |
| MMD | GMSC | DICE | Deep Ensemble | 0.082 |
| MMD | GMSC | DICE | Linear | 0.51 |
| MMD | GMSC | DICE | MLP | 0.338 |
| MMD | GMSC | Generic (γ=0.5) | Deep Ensemble | 0.306 |
| MMD | GMSC | Generic (γ=0.5) | Linear | 0.278 |
| MMD | GMSC | Generic (γ=0.5) | MLP | 0.128 |
| MMD | GMSC | Greedy | Deep Ensemble | 0.032 |
| MMD | GMSC | Greedy | Linear | 0.006 |
| MMD | GMSC | Greedy | MLP | 0.0 |
| MMD | GMSC | Latent | Deep Ensemble | 0.0 |
| MMD | GMSC | Latent | Linear | 0.0 |
| MMD | GMSC | Latent | MLP | 0.0 |
| PP MMD | Cal Housing | DICE | Deep Ensemble | 0.0 |
| PP MMD | Cal Housing | DICE | Linear | 0.0 |
| PP MMD | Cal Housing | DICE | MLP | 0.0 |
| PP MMD | Cal Housing | Generic (γ=0.5) | Deep Ensemble | 0.0 |
| PP MMD | Cal Housing | Generic (γ=0.5) | Linear | 0.0 |
| PP MMD | Cal Housing | Generic (γ=0.5) | MLP | 0.0 |
| PP MMD | Cal Housing | Greedy | Deep Ensemble | 0.0 |
| PP MMD | Cal Housing | Greedy | Linear | 0.0 |
| PP MMD | Cal Housing | Greedy | MLP | 0.0 |
| PP MMD | Cal Housing | Latent | Deep Ensemble | 0.0 |
| PP MMD | Cal Housing | Latent | Linear | 0.0 |
| PP MMD | Cal Housing | Latent | MLP | 0.0 |
| PP MMD | Credit Default | DICE | Deep Ensemble | 0.0 |
| PP MMD | Credit Default | DICE | Linear | 0.0 |
| PP MMD | Credit Default | DICE | MLP | 0.0 |
| PP MMD | Credit Default | Generic (γ=0.5) | Deep Ensemble | 0.0 |
| PP MMD | Credit Default | Generic (γ=0.5) | Linear | 0.0 |
| PP MMD | Credit Default | Generic (γ=0.5) | MLP | 0.0 |
| PP MMD | Credit Default | Greedy | Deep Ensemble | 0.0 |
| PP MMD | Credit Default | Greedy | Linear | 0.044 |
| PP MMD | Credit Default | Greedy | MLP | 0.0 |
| PP MMD | Credit Default | Latent | Deep Ensemble | 0.0 |
| PP MMD | Credit Default | Latent | Linear | 0.436 |
| PP MMD | Credit Default | Latent | MLP | 0.0 |
| PP MMD | GMSC | DICE | Deep Ensemble | 0.032 |
| PP MMD | GMSC | DICE | Linear | 0.0 |
| PP MMD | GMSC | DICE | MLP | 0.0 |
| PP MMD | GMSC | Generic (γ=0.5) | Deep Ensemble | 0.018 |
| PP MMD | GMSC | Generic (γ=0.5) | Linear | 0.0 |
| PP MMD | GMSC | Generic (γ=0.5) | MLP | 0.0 |
| PP MMD | GMSC | Greedy | Deep Ensemble | 0.02 |
| PP MMD | GMSC | Greedy | Linear | 0.0 |
| PP MMD | GMSC | Greedy | MLP | 0.0 |
| PP MMD | GMSC | Latent | Deep Ensemble | 0.008 |
| PP MMD | GMSC | Latent | Linear | 0.0 |
| PP MMD | GMSC | Latent | MLP | 0.0 |
| PP MMD (grid) | Cal Housing | DICE | Deep Ensemble | 0.0 |
| PP MMD (grid) | Cal Housing | DICE | Linear | 0.0 |
| PP MMD (grid) | Cal Housing | DICE | MLP | 0.0 |
| PP MMD (grid) | Cal Housing | Generic (γ=0.5) | Deep Ensemble | 0.0 |
| PP MMD (grid) | Cal Housing | Generic (γ=0.5) | Linear | 0.0 |
| PP MMD (grid) | Cal Housing | Generic (γ=0.5) | MLP | 0.004 |
| PP MMD (grid) | Cal Housing | Greedy | Deep Ensemble | 0.0 |
| PP MMD (grid) | Cal Housing | Greedy | Linear | 0.0 |
| PP MMD (grid) | Cal Housing | Greedy | MLP | 0.0 |
| PP MMD (grid) | Cal Housing | Latent | Deep Ensemble | 0.006 |
| PP MMD (grid) | Cal Housing | Latent | Linear | 0.01 |
| PP MMD (grid) | Cal Housing | Latent | MLP | 0.026 |
| PP MMD (grid) | Credit Default | DICE | Deep Ensemble | 0.0 |
| PP MMD (grid) | Credit Default | DICE | Linear | 0.0 |
| PP MMD (grid) | Credit Default | DICE | MLP | 0.0 |
| PP MMD (grid) | Credit Default | Generic (γ=0.5) | Deep Ensemble | 0.0 |
| PP MMD (grid) | Credit Default | Generic (γ=0.5) | Linear | 0.0 |
| PP MMD (grid) | Credit Default | Generic (γ=0.5) | MLP | 0.0 |
| PP MMD (grid) | Credit Default | Greedy | Deep Ensemble | 0.164 |
| PP MMD (grid) | Credit Default | Greedy | Linear | 0.0 |
| PP MMD (grid) | Credit Default | Greedy | MLP | 0.0 |
| PP MMD (grid) | Credit Default | Latent | Deep Ensemble | 0.0 |
| PP MMD (grid) | Credit Default | Latent | Linear | 0.044 |
| PP MMD (grid) | Credit Default | Latent | MLP | 0.0 |
| PP MMD (grid) | GMSC | DICE | Deep Ensemble | 0.0 |
| PP MMD (grid) | GMSC | DICE | Linear | 0.0 |
| PP MMD (grid) | GMSC | DICE | MLP | 0.004 |
| PP MMD (grid) | GMSC | Generic (γ=0.5) | Deep Ensemble | 0.002 |
| PP MMD (grid) | GMSC | Generic (γ=0.5) | Linear | 0.0 |
| PP MMD (grid) | GMSC | Generic (γ=0.5) | MLP | 0.0 |
| PP MMD (grid) | GMSC | Greedy | Deep Ensemble | 0.0 |
| PP MMD (grid) | GMSC | Greedy | Linear | 0.0 |
| PP MMD (grid) | GMSC | Greedy | MLP | 0.0 |
| PP MMD (grid) | GMSC | Latent | Deep Ensemble | 0.0 |
| PP MMD (grid) | GMSC | Latent | Linear | 0.0 |
| PP MMD (grid) | GMSC | Latent | MLP | 0.03 |
D.3 Detailed Results: Mitigation
D.3.1 Line Charts
The evolution of the evaluation metrics over the course of the experiment is shown for different datasets in Figure D.15 to Figure D.21.
D.3.2 Error Bar Charts
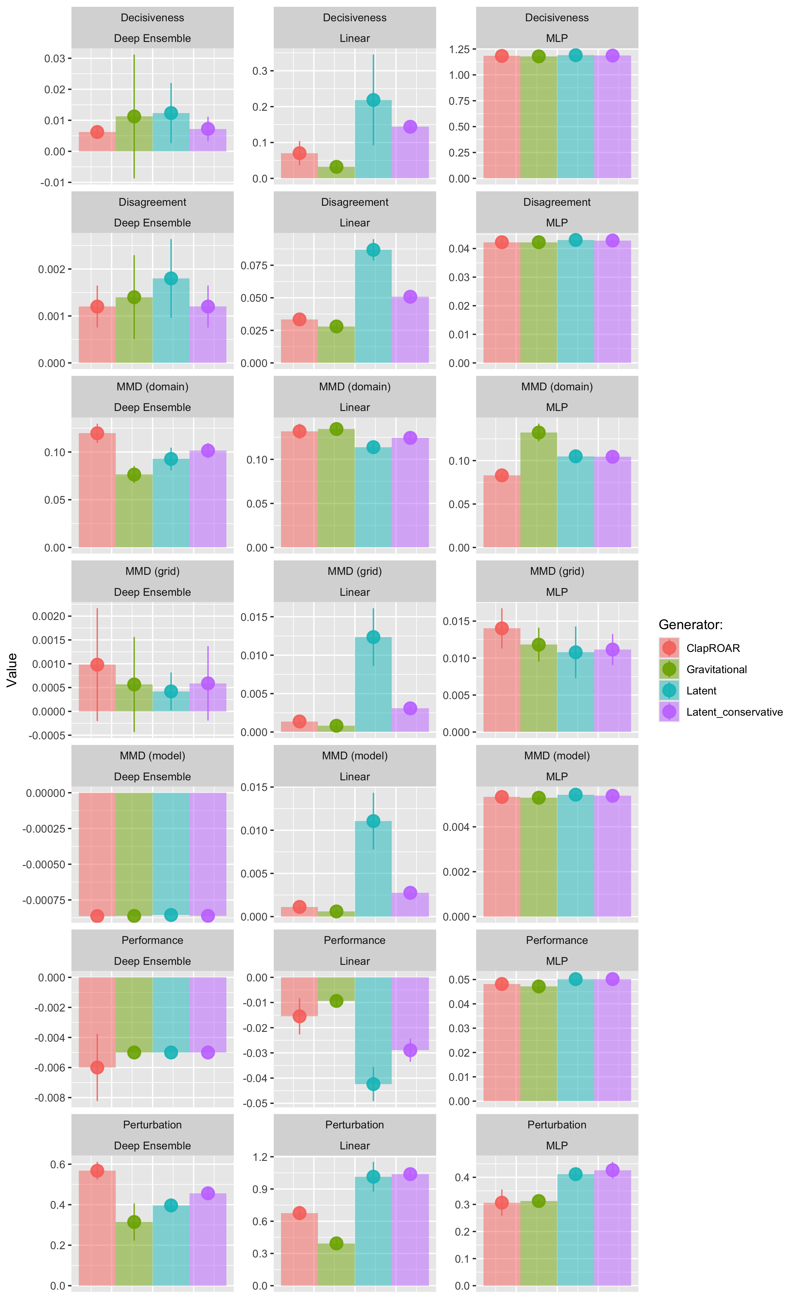
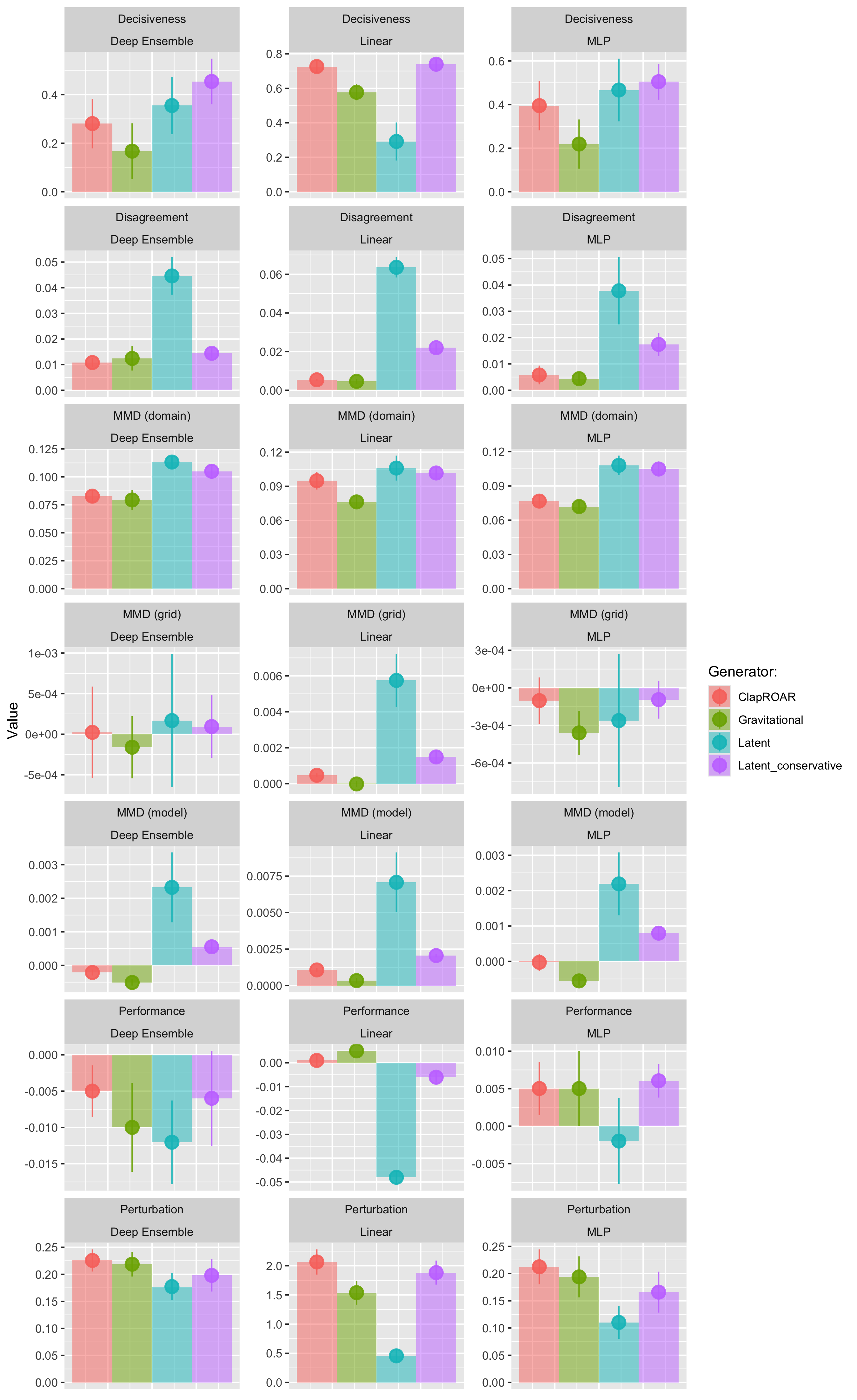
The evaluation metrics at the end of the experiment are shown for different datasets in Figure D.22 to Figure D.28.
D.3.3 Statistical Significance
Table D.3 presents the tests for statistical significance of the estimated MMD metrics.
| Metric | Data | Generator | Model | p-value |
|---|---|---|---|---|
| MMD | Circles | ClapROAR | Deep Ensemble | 0.984 |
| MMD | Circles | ClapROAR | Linear | 1.0 |
| MMD | Circles | ClapROAR | MLP | 0.992 |
| MMD | Circles | Generic (γ=0.5) | Deep Ensemble | 0.99 |
| MMD | Circles | Generic (γ=0.5) | Linear | 1.0 |
| MMD | Circles | Generic (γ=0.5) | MLP | 0.994 |
| MMD | Circles | Generic (γ=0.9) | Deep Ensemble | 0.996 |
| MMD | Circles | Generic (γ=0.9) | Linear | 1.0 |
| MMD | Circles | Generic (γ=0.9) | MLP | 0.992 |
| MMD | Circles | Gravitational | Deep Ensemble | 0.998 |
| MMD | Circles | Gravitational | Linear | 1.0 |
| MMD | Circles | Gravitational | MLP | 0.998 |
| MMD | Circles | Latent | Deep Ensemble | 1.0 |
| MMD | Circles | Latent | Linear | 1.0 |
| MMD | Circles | Latent | MLP | 1.0 |
| MMD | Linearly Separable | ClapROAR | Deep Ensemble | 0.0 |
| MMD | Linearly Separable | ClapROAR | Linear | 0.0 |
| MMD | Linearly Separable | ClapROAR | MLP | 0.0 |
| MMD | Linearly Separable | Generic (γ=0.5) | Deep Ensemble | 0.0 |
| MMD | Linearly Separable | Generic (γ=0.5) | Linear | 0.0 |
| MMD | Linearly Separable | Generic (γ=0.5) | MLP | 0.0 |
| MMD | Linearly Separable | Generic (γ=0.9) | Deep Ensemble | 0.0 |
| MMD | Linearly Separable | Generic (γ=0.9) | Linear | 0.0 |
| MMD | Linearly Separable | Generic (γ=0.9) | MLP | 0.0 |
| MMD | Linearly Separable | Gravitational | Deep Ensemble | 0.05 |
| MMD | Linearly Separable | Gravitational | Linear | 0.092 |
| MMD | Linearly Separable | Gravitational | MLP | 0.078 |
| MMD | Linearly Separable | Latent | Deep Ensemble | 0.724 |
| MMD | Linearly Separable | Latent | Linear | 0.75 |
| MMD | Linearly Separable | Latent | MLP | 0.742 |
| MMD | Moons | ClapROAR | Deep Ensemble | 0.0 |
| MMD | Moons | ClapROAR | Linear | 0.0 |
| MMD | Moons | ClapROAR | MLP | 0.0 |
| MMD | Moons | Generic (γ=0.5) | Deep Ensemble | 0.0 |
| MMD | Moons | Generic (γ=0.5) | Linear | 0.0 |
| MMD | Moons | Generic (γ=0.5) | MLP | 0.0 |
| MMD | Moons | Generic (γ=0.9) | Deep Ensemble | 0.0 |
| MMD | Moons | Generic (γ=0.9) | Linear | 0.0 |
| MMD | Moons | Generic (γ=0.9) | MLP | 0.0 |
| MMD | Moons | Gravitational | Deep Ensemble | 0.0 |
| MMD | Moons | Gravitational | Linear | 0.0 |
| MMD | Moons | Gravitational | MLP | 0.0 |
| MMD | Moons | Latent | Deep Ensemble | 0.0 |
| MMD | Moons | Latent | Linear | 0.0 |
| MMD | Moons | Latent | MLP | 0.0 |
| MMD | Overlapping | ClapROAR | Deep Ensemble | 0.0 |
| MMD | Overlapping | ClapROAR | Linear | 0.0 |
| MMD | Overlapping | ClapROAR | MLP | 0.0 |
| MMD | Overlapping | Generic (γ=0.5) | Deep Ensemble | 0.0 |
| MMD | Overlapping | Generic (γ=0.5) | Linear | 0.0 |
| MMD | Overlapping | Generic (γ=0.5) | MLP | 0.0 |
| MMD | Overlapping | Generic (γ=0.9) | Deep Ensemble | 0.0 |
| MMD | Overlapping | Generic (γ=0.9) | Linear | 0.0 |
| MMD | Overlapping | Generic (γ=0.9) | MLP | 0.0 |
| MMD | Overlapping | Gravitational | Deep Ensemble | 0.0 |
| MMD | Overlapping | Gravitational | Linear | 0.0 |
| MMD | Overlapping | Gravitational | MLP | 0.0 |
| MMD | Overlapping | Latent | Deep Ensemble | 0.0 |
| MMD | Overlapping | Latent | Linear | 0.0 |
| MMD | Overlapping | Latent | MLP | 0.0 |
| PP MMD | Circles | ClapROAR | Deep Ensemble | 0.998 |
| PP MMD | Circles | ClapROAR | Linear | 0.996 |
| PP MMD | Circles | ClapROAR | MLP | 0.998 |
| PP MMD | Circles | Generic (γ=0.5) | Deep Ensemble | 0.998 |
| PP MMD | Circles | Generic (γ=0.5) | Linear | 0.8 |
| PP MMD | Circles | Generic (γ=0.5) | MLP | 1.0 |
| PP MMD | Circles | Generic (γ=0.9) | Deep Ensemble | 0.998 |
| PP MMD | Circles | Generic (γ=0.9) | Linear | 0.996 |
| PP MMD | Circles | Generic (γ=0.9) | MLP | 1.0 |
| PP MMD | Circles | Gravitational | Deep Ensemble | 0.978 |
| PP MMD | Circles | Gravitational | Linear | 0.0 |
| PP MMD | Circles | Gravitational | MLP | 0.986 |
| PP MMD | Circles | Latent | Deep Ensemble | 1.0 |
| PP MMD | Circles | Latent | Linear | 0.0 |
| PP MMD | Circles | Latent | MLP | 0.998 |
| PP MMD | Linearly Separable | ClapROAR | Deep Ensemble | 0.962 |
| PP MMD | Linearly Separable | ClapROAR | Linear | 0.916 |
| PP MMD | Linearly Separable | ClapROAR | MLP | 0.958 |
| PP MMD | Linearly Separable | Generic (γ=0.5) | Deep Ensemble | 0.922 |
| PP MMD | Linearly Separable | Generic (γ=0.5) | Linear | 0.0 |
| PP MMD | Linearly Separable | Generic (γ=0.5) | MLP | 0.916 |
| PP MMD | Linearly Separable | Generic (γ=0.9) | Deep Ensemble | 0.968 |
| PP MMD | Linearly Separable | Generic (γ=0.9) | Linear | 0.376 |
| PP MMD | Linearly Separable | Generic (γ=0.9) | MLP | 0.968 |
| PP MMD | Linearly Separable | Gravitational | Deep Ensemble | 0.976 |
| PP MMD | Linearly Separable | Gravitational | Linear | 0.904 |
| PP MMD | Linearly Separable | Gravitational | MLP | 0.982 |
| PP MMD | Linearly Separable | Latent | Deep Ensemble | 0.862 |
| PP MMD | Linearly Separable | Latent | Linear | 0.428 |
| PP MMD | Linearly Separable | Latent | MLP | 0.83 |
| PP MMD | Moons | ClapROAR | Deep Ensemble | 0.966 |
| PP MMD | Moons | ClapROAR | Linear | 0.462 |
| PP MMD | Moons | ClapROAR | MLP | 0.956 |
| PP MMD | Moons | Generic (γ=0.5) | Deep Ensemble | 0.822 |
| PP MMD | Moons | Generic (γ=0.5) | Linear | 0.0 |
| PP MMD | Moons | Generic (γ=0.5) | MLP | 0.812 |
| PP MMD | Moons | Generic (γ=0.9) | Deep Ensemble | 0.818 |
| PP MMD | Moons | Generic (γ=0.9) | Linear | 0.086 |
| PP MMD | Moons | Generic (γ=0.9) | MLP | 0.87 |
| PP MMD | Moons | Gravitational | Deep Ensemble | 0.9775 |
| PP MMD | Moons | Gravitational | Linear | 0.446 |
| PP MMD | Moons | Gravitational | MLP | 0.984 |
| PP MMD | Moons | Latent | Deep Ensemble | 0.922 |
| PP MMD | Moons | Latent | Linear | 0.008 |
| PP MMD | Moons | Latent | MLP | 0.94 |
| PP MMD | Overlapping | ClapROAR | Deep Ensemble | 0.46 |
| PP MMD | Overlapping | ClapROAR | Linear | 0.178 |
| PP MMD | Overlapping | ClapROAR | MLP | 0.486 |
| PP MMD | Overlapping | Generic (γ=0.5) | Deep Ensemble | 0.0 |
| PP MMD | Overlapping | Generic (γ=0.5) | Linear | 0.0 |
| PP MMD | Overlapping | Generic (γ=0.5) | MLP | 0.004 |
| PP MMD | Overlapping | Generic (γ=0.9) | Deep Ensemble | 0.122 |
| PP MMD | Overlapping | Generic (γ=0.9) | Linear | 0.066 |
| PP MMD | Overlapping | Generic (γ=0.9) | MLP | 0.13 |
| PP MMD | Overlapping | Gravitational | Deep Ensemble | 0.514 |
| PP MMD | Overlapping | Gravitational | Linear | 0.156 |
| PP MMD | Overlapping | Gravitational | MLP | 0.564 |
| PP MMD | Overlapping | Latent | Deep Ensemble | 0.048 |
| PP MMD | Overlapping | Latent | Linear | 0.006 |
| PP MMD | Overlapping | Latent | MLP | 0.046 |
| PP MMD (grid) | Circles | ClapROAR | Deep Ensemble | 0.984 |
| PP MMD (grid) | Circles | ClapROAR | Linear | 0.996 |
| PP MMD (grid) | Circles | ClapROAR | MLP | 0.99 |
| PP MMD (grid) | Circles | Generic (γ=0.5) | Deep Ensemble | 0.886 |
| PP MMD (grid) | Circles | Generic (γ=0.5) | Linear | 0.814 |
| PP MMD (grid) | Circles | Generic (γ=0.5) | MLP | 0.814 |
| PP MMD (grid) | Circles | Generic (γ=0.9) | Deep Ensemble | 0.84 |
| PP MMD (grid) | Circles | Generic (γ=0.9) | Linear | 0.988 |
| PP MMD (grid) | Circles | Generic (γ=0.9) | MLP | 0.932 |
| PP MMD (grid) | Circles | Gravitational | Deep Ensemble | 0.55 |
| PP MMD (grid) | Circles | Gravitational | Linear | 0.0 |
| PP MMD (grid) | Circles | Gravitational | MLP | 0.406 |
| PP MMD (grid) | Circles | Latent | Deep Ensemble | 0.996 |
| PP MMD (grid) | Circles | Latent | Linear | 0.0 |
| PP MMD (grid) | Circles | Latent | MLP | 0.99 |
| PP MMD (grid) | Linearly Separable | ClapROAR | Deep Ensemble | 0.0 |
| PP MMD (grid) | Linearly Separable | ClapROAR | Linear | 0.006 |
| PP MMD (grid) | Linearly Separable | ClapROAR | MLP | 0.0 |
| PP MMD (grid) | Linearly Separable | Generic (γ=0.5) | Deep Ensemble | 0.0 |
| PP MMD (grid) | Linearly Separable | Generic (γ=0.5) | Linear | 0.0 |
| PP MMD (grid) | Linearly Separable | Generic (γ=0.5) | MLP | 0.0 |
| PP MMD (grid) | Linearly Separable | Generic (γ=0.9) | Deep Ensemble | 0.0 |
| PP MMD (grid) | Linearly Separable | Generic (γ=0.9) | Linear | 0.0 |
| PP MMD (grid) | Linearly Separable | Generic (γ=0.9) | MLP | 0.0 |
| PP MMD (grid) | Linearly Separable | Gravitational | Deep Ensemble | 0.408 |
| PP MMD (grid) | Linearly Separable | Gravitational | Linear | 0.342 |
| PP MMD (grid) | Linearly Separable | Gravitational | MLP | 0.668 |
| PP MMD (grid) | Linearly Separable | Latent | Deep Ensemble | 0.0 |
| PP MMD (grid) | Linearly Separable | Latent | Linear | 0.0 |
| PP MMD (grid) | Linearly Separable | Latent | MLP | 0.0 |
| PP MMD (grid) | Moons | ClapROAR | Deep Ensemble | 0.0 |
| PP MMD (grid) | Moons | ClapROAR | Linear | 0.458 |
| PP MMD (grid) | Moons | ClapROAR | MLP | 0.004 |
| PP MMD (grid) | Moons | Generic (γ=0.5) | Deep Ensemble | 0.0 |
| PP MMD (grid) | Moons | Generic (γ=0.5) | Linear | 0.0 |
| PP MMD (grid) | Moons | Generic (γ=0.5) | MLP | 0.016 |
| PP MMD (grid) | Moons | Generic (γ=0.9) | Deep Ensemble | 0.006 |
| PP MMD (grid) | Moons | Generic (γ=0.9) | Linear | 0.09 |
| PP MMD (grid) | Moons | Generic (γ=0.9) | MLP | 0.03 |
| PP MMD (grid) | Moons | Gravitational | Deep Ensemble | 0.4 |
| PP MMD (grid) | Moons | Gravitational | Linear | 0.456 |
| PP MMD (grid) | Moons | Gravitational | MLP | 0.426 |
| PP MMD (grid) | Moons | Latent | Deep Ensemble | 0.344 |
| PP MMD (grid) | Moons | Latent | Linear | 0.008 |
| PP MMD (grid) | Moons | Latent | MLP | 0.114 |
| PP MMD (grid) | Overlapping | ClapROAR | Deep Ensemble | 0.4075 |
| PP MMD (grid) | Overlapping | ClapROAR | Linear | 0.256 |
| PP MMD (grid) | Overlapping | ClapROAR | MLP | 0.298 |
| PP MMD (grid) | Overlapping | Generic (γ=0.5) | Deep Ensemble | 0.002 |
| PP MMD (grid) | Overlapping | Generic (γ=0.5) | Linear | 0.0 |
| PP MMD (grid) | Overlapping | Generic (γ=0.5) | MLP | 0.0 |
| PP MMD (grid) | Overlapping | Generic (γ=0.9) | Deep Ensemble | 0.154 |
| PP MMD (grid) | Overlapping | Generic (γ=0.9) | Linear | 0.104 |
| PP MMD (grid) | Overlapping | Generic (γ=0.9) | MLP | 0.116 |
| PP MMD (grid) | Overlapping | Gravitational | Deep Ensemble | 0.356 |
| PP MMD (grid) | Overlapping | Gravitational | Linear | 0.27 |
| PP MMD (grid) | Overlapping | Gravitational | MLP | 0.344 |
| PP MMD (grid) | Overlapping | Latent | Deep Ensemble | 0.324 |
| PP MMD (grid) | Overlapping | Latent | Linear | 0.01 |
| PP MMD (grid) | Overlapping | Latent | MLP | 0.204 |
Table D.4 presents the tests for statistical significance of the estimated MMD metrics.
| Metric | Data | Generator | Model | p-value |
|---|---|---|---|---|
| MMD | Cal Housing | ClapROAR | Deep Ensemble | 0.0 |
| MMD | Cal Housing | ClapROAR | Linear | 0.0 |
| MMD | Cal Housing | ClapROAR | MLP | 0.0 |
| MMD | Cal Housing | Generic (γ=0.5) | Deep Ensemble | 0.0 |
| MMD | Cal Housing | Generic (γ=0.5) | Linear | 0.0 |
| MMD | Cal Housing | Generic (γ=0.5) | MLP | 0.0 |
| MMD | Cal Housing | Generic (γ=0.9) | Deep Ensemble | 0.0 |
| MMD | Cal Housing | Generic (γ=0.9) | Linear | 0.0 |
| MMD | Cal Housing | Generic (γ=0.9) | MLP | 0.0 |
| MMD | Cal Housing | Gravitational | Deep Ensemble | 0.0 |
| MMD | Cal Housing | Gravitational | Linear | 0.0 |
| MMD | Cal Housing | Gravitational | MLP | 0.0 |
| MMD | Cal Housing | Latent | Deep Ensemble | 0.0 |
| MMD | Cal Housing | Latent | Linear | 0.0 |
| MMD | Cal Housing | Latent | MLP | 0.0 |
| MMD | Credit Default | ClapROAR | Deep Ensemble | 1.0 |
| MMD | Credit Default | ClapROAR | Linear | 1.0 |
| MMD | Credit Default | ClapROAR | MLP | 1.0 |
| MMD | Credit Default | Generic (γ=0.5) | Deep Ensemble | 1.0 |
| MMD | Credit Default | Generic (γ=0.5) | Linear | 1.0 |
| MMD | Credit Default | Generic (γ=0.5) | MLP | 1.0 |
| MMD | Credit Default | Generic (γ=0.9) | Deep Ensemble | 1.0 |
| MMD | Credit Default | Generic (γ=0.9) | Linear | 1.0 |
| MMD | Credit Default | Generic (γ=0.9) | MLP | 1.0 |
| MMD | Credit Default | Gravitational | Deep Ensemble | 0.0 |
| MMD | Credit Default | Gravitational | Linear | 0.0 |
| MMD | Credit Default | Gravitational | MLP | 0.0 |
| MMD | Credit Default | Latent | Deep Ensemble | 0.0 |
| MMD | Credit Default | Latent | Linear | 0.8 |
| MMD | Credit Default | Latent | MLP | 0.0 |
| MMD | GMSC | ClapROAR | Deep Ensemble | 0.15 |
| MMD | GMSC | ClapROAR | Linear | 0.0 |
| MMD | GMSC | ClapROAR | MLP | 0.214 |
| MMD | GMSC | Generic (γ=0.5) | Deep Ensemble | 0.938 |
| MMD | GMSC | Generic (γ=0.5) | Linear | 0.856 |
| MMD | GMSC | Generic (γ=0.5) | MLP | 0.932 |
| MMD | GMSC | Generic (γ=0.9) | Deep Ensemble | 0.758 |
| MMD | GMSC | Generic (γ=0.9) | Linear | 0.004 |
| MMD | GMSC | Generic (γ=0.9) | MLP | 0.93 |
| MMD | GMSC | Gravitational | Deep Ensemble | 0.0 |
| MMD | GMSC | Gravitational | Linear | 0.0 |
| MMD | GMSC | Gravitational | MLP | 0.0 |
| MMD | GMSC | Latent | Deep Ensemble | 0.0 |
| MMD | GMSC | Latent | Linear | 0.0 |
| MMD | GMSC | Latent | MLP | 0.0 |
| PP MMD | Cal Housing | ClapROAR | Deep Ensemble | 0.0 |
| PP MMD | Cal Housing | ClapROAR | Linear | 0.0 |
| PP MMD | Cal Housing | ClapROAR | MLP | 0.0 |
| PP MMD | Cal Housing | Generic (γ=0.5) | Deep Ensemble | 0.0 |
| PP MMD | Cal Housing | Generic (γ=0.5) | Linear | 0.0 |
| PP MMD | Cal Housing | Generic (γ=0.5) | MLP | 0.0 |
| PP MMD | Cal Housing | Generic (γ=0.9) | Deep Ensemble | 0.0 |
| PP MMD | Cal Housing | Generic (γ=0.9) | Linear | 0.0 |
| PP MMD | Cal Housing | Generic (γ=0.9) | MLP | 0.0 |
| PP MMD | Cal Housing | Gravitational | Deep Ensemble | 0.0 |
| PP MMD | Cal Housing | Gravitational | Linear | 0.0 |
| PP MMD | Cal Housing | Gravitational | MLP | 0.0 |
| PP MMD | Cal Housing | Latent | Deep Ensemble | 0.0 |
| PP MMD | Cal Housing | Latent | Linear | 0.0 |
| PP MMD | Cal Housing | Latent | MLP | 0.0 |
| PP MMD | Credit Default | ClapROAR | Deep Ensemble | 0.0 |
| PP MMD | Credit Default | ClapROAR | Linear | 0.0 |
| PP MMD | Credit Default | ClapROAR | MLP | 0.0 |
| PP MMD | Credit Default | Generic (γ=0.5) | Deep Ensemble | 0.0 |
| PP MMD | Credit Default | Generic (γ=0.5) | Linear | 0.0 |
| PP MMD | Credit Default | Generic (γ=0.5) | MLP | 0.0 |
| PP MMD | Credit Default | Generic (γ=0.9) | Deep Ensemble | 0.0 |
| PP MMD | Credit Default | Generic (γ=0.9) | Linear | 0.0 |
| PP MMD | Credit Default | Generic (γ=0.9) | MLP | 0.0 |
| PP MMD | Credit Default | Gravitational | Deep Ensemble | 0.0 |
| PP MMD | Credit Default | Gravitational | Linear | 0.0 |
| PP MMD | Credit Default | Gravitational | MLP | 0.0 |
| PP MMD | Credit Default | Latent | Deep Ensemble | 0.0 |
| PP MMD | Credit Default | Latent | Linear | 0.0 |
| PP MMD | Credit Default | Latent | MLP | 0.0 |
| PP MMD | GMSC | ClapROAR | Deep Ensemble | 0.0 |
| PP MMD | GMSC | ClapROAR | Linear | 0.0 |
| PP MMD | GMSC | ClapROAR | MLP | 0.0 |
| PP MMD | GMSC | Generic (γ=0.5) | Deep Ensemble | 0.0 |
| PP MMD | GMSC | Generic (γ=0.5) | Linear | 0.0 |
| PP MMD | GMSC | Generic (γ=0.5) | MLP | 0.0 |
| PP MMD | GMSC | Generic (γ=0.9) | Deep Ensemble | 0.0 |
| PP MMD | GMSC | Generic (γ=0.9) | Linear | 0.0 |
| PP MMD | GMSC | Generic (γ=0.9) | MLP | 0.0 |
| PP MMD | GMSC | Gravitational | Deep Ensemble | 0.0 |
| PP MMD | GMSC | Gravitational | Linear | 0.0 |
| PP MMD | GMSC | Gravitational | MLP | 0.0 |
| PP MMD | GMSC | Latent | Deep Ensemble | 0.0 |
| PP MMD | GMSC | Latent | Linear | 0.0 |
| PP MMD | GMSC | Latent | MLP | 0.0 |
| PP MMD (grid) | Cal Housing | ClapROAR | Deep Ensemble | 0.044 |
| PP MMD (grid) | Cal Housing | ClapROAR | Linear | 0.004 |
| PP MMD (grid) | Cal Housing | ClapROAR | MLP | 0.012 |
| PP MMD (grid) | Cal Housing | Generic (γ=0.5) | Deep Ensemble | 0.0 |
| PP MMD (grid) | Cal Housing | Generic (γ=0.5) | Linear | 0.0 |
| PP MMD (grid) | Cal Housing | Generic (γ=0.5) | MLP | 0.0 |
| PP MMD (grid) | Cal Housing | Generic (γ=0.9) | Deep Ensemble | 0.002 |
| PP MMD (grid) | Cal Housing | Generic (γ=0.9) | Linear | 0.0 |
| PP MMD (grid) | Cal Housing | Generic (γ=0.9) | MLP | 0.0 |
| PP MMD (grid) | Cal Housing | Gravitational | Deep Ensemble | 0.0 |
| PP MMD (grid) | Cal Housing | Gravitational | Linear | 0.014 |
| PP MMD (grid) | Cal Housing | Gravitational | MLP | 0.0625 |
| PP MMD (grid) | Cal Housing | Latent | Deep Ensemble | 0.0 |
| PP MMD (grid) | Cal Housing | Latent | Linear | 0.002 |
| PP MMD (grid) | Cal Housing | Latent | MLP | 0.0 |
| PP MMD (grid) | Credit Default | ClapROAR | Deep Ensemble | 0.0 |
| PP MMD (grid) | Credit Default | ClapROAR | Linear | 0.0 |
| PP MMD (grid) | Credit Default | ClapROAR | MLP | 0.0 |
| PP MMD (grid) | Credit Default | Generic (γ=0.5) | Deep Ensemble | 0.0 |
| PP MMD (grid) | Credit Default | Generic (γ=0.5) | Linear | 0.0 |
| PP MMD (grid) | Credit Default | Generic (γ=0.5) | MLP | 0.0 |
| PP MMD (grid) | Credit Default | Generic (γ=0.9) | Deep Ensemble | 0.0 |
| PP MMD (grid) | Credit Default | Generic (γ=0.9) | Linear | 0.0 |
| PP MMD (grid) | Credit Default | Generic (γ=0.9) | MLP | 0.0 |
| PP MMD (grid) | Credit Default | Gravitational | Deep Ensemble | 0.0 |
| PP MMD (grid) | Credit Default | Gravitational | Linear | 0.0 |
| PP MMD (grid) | Credit Default | Gravitational | MLP | 0.0 |
| PP MMD (grid) | Credit Default | Latent | Deep Ensemble | 0.0 |
| PP MMD (grid) | Credit Default | Latent | Linear | 0.078 |
| PP MMD (grid) | Credit Default | Latent | MLP | 0.0 |
| PP MMD (grid) | GMSC | ClapROAR | Deep Ensemble | 0.0 |
| PP MMD (grid) | GMSC | ClapROAR | Linear | 0.0 |
| PP MMD (grid) | GMSC | ClapROAR | MLP | 0.0 |
| PP MMD (grid) | GMSC | Generic (γ=0.5) | Deep Ensemble | 0.0 |
| PP MMD (grid) | GMSC | Generic (γ=0.5) | Linear | 0.0 |
| PP MMD (grid) | GMSC | Generic (γ=0.5) | MLP | 0.0 |
| PP MMD (grid) | GMSC | Generic (γ=0.9) | Deep Ensemble | 0.0 |
| PP MMD (grid) | GMSC | Generic (γ=0.9) | Linear | 0.0 |
| PP MMD (grid) | GMSC | Generic (γ=0.9) | MLP | 0.0 |
| PP MMD (grid) | GMSC | Gravitational | Deep Ensemble | 0.0 |
| PP MMD (grid) | GMSC | Gravitational | Linear | 0.0 |
| PP MMD (grid) | GMSC | Gravitational | MLP | 0.0 |
| PP MMD (grid) | GMSC | Latent | Deep Ensemble | 0.0 |
| PP MMD (grid) | GMSC | Latent | Linear | 0.0 |
| PP MMD (grid) | GMSC | Latent | MLP | 0.0 |
D.4 Detailed Results: Mitigation with Latent Space Search
D.4.1 Line Charts
The evolution of the evaluation metrics over the course of the experiment is shown for different datasets in Figure D.29 to Figure D.32.
D.4.2 Error Bar Charts
The evaluation metrics at the end of the experiment are shown for different datasets in Figure D.33 to Figure D.36.
D.4.3 Statistical Significance
Table D.5 presents the tests for statistical significance of the estimated MMD metrics.
| Metric | Data | Generator | Model | p-value |
|---|---|---|---|---|
| MMD | Circles | ClapROAR | Deep Ensemble | 1.0 |
| MMD | Circles | ClapROAR | Linear | 0.994 |
| MMD | Circles | ClapROAR | MLP | 1.0 |
| MMD | Circles | Gravitational | Deep Ensemble | 0.998 |
| MMD | Circles | Gravitational | Linear | 1.0 |
| MMD | Circles | Gravitational | MLP | 1.0 |
| MMD | Circles | Latent (γ=0.5) | Deep Ensemble | 1.0 |
| MMD | Circles | Latent (γ=0.5) | Linear | 0.996 |
| MMD | Circles | Latent (γ=0.5) | MLP | 1.0 |
| MMD | Circles | Latent (γ=0.9) | Deep Ensemble | 1.0 |
| MMD | Circles | Latent (γ=0.9) | Linear | 0.996 |
| MMD | Circles | Latent (γ=0.9) | MLP | 1.0 |
| MMD | Linearly Separable | ClapROAR | Deep Ensemble | 0.334 |
| MMD | Linearly Separable | ClapROAR | Linear | 0.866 |
| MMD | Linearly Separable | ClapROAR | MLP | 0.168 |
| MMD | Linearly Separable | Gravitational | Deep Ensemble | 0.38 |
| MMD | Linearly Separable | Gravitational | Linear | 0.82 |
| MMD | Linearly Separable | Gravitational | MLP | 0.0 |
| MMD | Linearly Separable | Latent (γ=0.5) | Deep Ensemble | 0.0 |
| MMD | Linearly Separable | Latent (γ=0.5) | Linear | 0.892 |
| MMD | Linearly Separable | Latent (γ=0.5) | MLP | 0.126 |
| MMD | Linearly Separable | Latent (γ=0.9) | Deep Ensemble | 0.0 |
| MMD | Linearly Separable | Latent (γ=0.9) | Linear | 0.896 |
| MMD | Linearly Separable | Latent (γ=0.9) | MLP | 0.0 |
| MMD | Moons | ClapROAR | Deep Ensemble | 0.0 |
| MMD | Moons | ClapROAR | Linear | 0.0 |
| MMD | Moons | ClapROAR | MLP | 0.0 |
| MMD | Moons | Gravitational | Deep Ensemble | 0.0 |
| MMD | Moons | Gravitational | Linear | 0.0 |
| MMD | Moons | Gravitational | MLP | 0.0 |
| MMD | Moons | Latent (γ=0.5) | Deep Ensemble | 0.0 |
| MMD | Moons | Latent (γ=0.5) | Linear | 0.0 |
| MMD | Moons | Latent (γ=0.5) | MLP | 0.0 |
| MMD | Moons | Latent (γ=0.9) | Deep Ensemble | 0.0 |
| MMD | Moons | Latent (γ=0.9) | Linear | 0.0 |
| MMD | Moons | Latent (γ=0.9) | MLP | 0.0 |
| MMD | Overlapping | ClapROAR | Deep Ensemble | 0.0 |
| MMD | Overlapping | ClapROAR | Linear | 0.0 |
| MMD | Overlapping | ClapROAR | MLP | 0.0 |
| MMD | Overlapping | Gravitational | Deep Ensemble | 0.0 |
| MMD | Overlapping | Gravitational | Linear | 0.0 |
| MMD | Overlapping | Gravitational | MLP | 0.0 |
| MMD | Overlapping | Latent (γ=0.5) | Deep Ensemble | 0.0 |
| MMD | Overlapping | Latent (γ=0.5) | Linear | 0.0 |
| MMD | Overlapping | Latent (γ=0.5) | MLP | 0.0 |
| MMD | Overlapping | Latent (γ=0.9) | Deep Ensemble | 0.0 |
| MMD | Overlapping | Latent (γ=0.9) | Linear | 0.0 |
| MMD | Overlapping | Latent (γ=0.9) | MLP | 0.0 |
| PP MMD | Circles | ClapROAR | Deep Ensemble | 0.998 |
| PP MMD | Circles | ClapROAR | Linear | 0.0 |
| PP MMD | Circles | ClapROAR | MLP | 1.0 |
| PP MMD | Circles | Gravitational | Deep Ensemble | 1.0 |
| PP MMD | Circles | Gravitational | Linear | 0.0 |
| PP MMD | Circles | Gravitational | MLP | 1.0 |
| PP MMD | Circles | Latent (γ=0.5) | Deep Ensemble | 0.998 |
| PP MMD | Circles | Latent (γ=0.5) | Linear | 0.0 |
| PP MMD | Circles | Latent (γ=0.5) | MLP | 0.9975 |
| PP MMD | Circles | Latent (γ=0.9) | Deep Ensemble | 0.998 |
| PP MMD | Circles | Latent (γ=0.9) | Linear | 0.0 |
| PP MMD | Circles | Latent (γ=0.9) | MLP | 0.998 |
| PP MMD | Linearly Separable | ClapROAR | Deep Ensemble | 0.698 |
| PP MMD | Linearly Separable | ClapROAR | Linear | 0.094 |
| PP MMD | Linearly Separable | ClapROAR | MLP | 0.826 |
| PP MMD | Linearly Separable | Gravitational | Deep Ensemble | 0.616 |
| PP MMD | Linearly Separable | Gravitational | Linear | 0.096 |
| PP MMD | Linearly Separable | Gravitational | MLP | 0.962 |
| PP MMD | Linearly Separable | Latent (γ=0.5) | Deep Ensemble | 0.948 |
| PP MMD | Linearly Separable | Latent (γ=0.5) | Linear | 0.094 |
| PP MMD | Linearly Separable | Latent (γ=0.5) | MLP | 0.85 |
| PP MMD | Linearly Separable | Latent (γ=0.9) | Deep Ensemble | 0.96 |
| PP MMD | Linearly Separable | Latent (γ=0.9) | Linear | 0.072 |
| PP MMD | Linearly Separable | Latent (γ=0.9) | MLP | 0.966 |
| PP MMD | Moons | ClapROAR | Deep Ensemble | 0.962 |
| PP MMD | Moons | ClapROAR | Linear | 0.134 |
| PP MMD | Moons | ClapROAR | MLP | 0.005 |
| PP MMD | Moons | Gravitational | Deep Ensemble | 0.966 |
| PP MMD | Moons | Gravitational | Linear | 0.2075 |
| PP MMD | Moons | Gravitational | MLP | 0.01 |
| PP MMD | Moons | Latent (γ=0.5) | Deep Ensemble | 0.9075 |
| PP MMD | Moons | Latent (γ=0.5) | Linear | 0.0 |
| PP MMD | Moons | Latent (γ=0.5) | MLP | 0.006 |
| PP MMD | Moons | Latent (γ=0.9) | Deep Ensemble | 0.93 |
| PP MMD | Moons | Latent (γ=0.9) | Linear | 0.0275 |
| PP MMD | Moons | Latent (γ=0.9) | MLP | 0.002 |
| PP MMD | Overlapping | ClapROAR | Deep Ensemble | 0.412 |
| PP MMD | Overlapping | ClapROAR | Linear | 0.13 |
| PP MMD | Overlapping | ClapROAR | MLP | 0.34 |
| PP MMD | Overlapping | Gravitational | Deep Ensemble | 0.544 |
| PP MMD | Overlapping | Gravitational | Linear | 0.238 |
| PP MMD | Overlapping | Gravitational | MLP | 0.662 |
| PP MMD | Overlapping | Latent (γ=0.5) | Deep Ensemble | 0.046 |
| PP MMD | Overlapping | Latent (γ=0.5) | Linear | 0.0 |
| PP MMD | Overlapping | Latent (γ=0.5) | MLP | 0.07 |
| PP MMD | Overlapping | Latent (γ=0.9) | Deep Ensemble | 0.196 |
| PP MMD | Overlapping | Latent (γ=0.9) | Linear | 0.046 |
| PP MMD | Overlapping | Latent (γ=0.9) | MLP | 0.132 |
| PP MMD (grid) | Circles | ClapROAR | Deep Ensemble | 0.994 |
| PP MMD (grid) | Circles | ClapROAR | Linear | 0.0 |
| PP MMD (grid) | Circles | ClapROAR | MLP | 0.996 |
| PP MMD (grid) | Circles | Gravitational | Deep Ensemble | 0.992 |
| PP MMD (grid) | Circles | Gravitational | Linear | 0.0 |
| PP MMD (grid) | Circles | Gravitational | MLP | 0.996 |
| PP MMD (grid) | Circles | Latent (γ=0.5) | Deep Ensemble | 0.998 |
| PP MMD (grid) | Circles | Latent (γ=0.5) | Linear | 0.0 |
| PP MMD (grid) | Circles | Latent (γ=0.5) | MLP | 0.9925 |
| PP MMD (grid) | Circles | Latent (γ=0.9) | Deep Ensemble | 0.994 |
| PP MMD (grid) | Circles | Latent (γ=0.9) | Linear | 0.0 |
| PP MMD (grid) | Circles | Latent (γ=0.9) | MLP | 0.988 |
| PP MMD (grid) | Linearly Separable | ClapROAR | Deep Ensemble | 0.0 |
| PP MMD (grid) | Linearly Separable | ClapROAR | Linear | 0.0 |
| PP MMD (grid) | Linearly Separable | ClapROAR | MLP | 0.0 |
| PP MMD (grid) | Linearly Separable | Gravitational | Deep Ensemble | 0.0 |
| PP MMD (grid) | Linearly Separable | Gravitational | Linear | 0.0 |
| PP MMD (grid) | Linearly Separable | Gravitational | MLP | 0.0 |
| PP MMD (grid) | Linearly Separable | Latent (γ=0.5) | Deep Ensemble | 0.0 |
| PP MMD (grid) | Linearly Separable | Latent (γ=0.5) | Linear | 0.0 |
| PP MMD (grid) | Linearly Separable | Latent (γ=0.5) | MLP | 0.0 |
| PP MMD (grid) | Linearly Separable | Latent (γ=0.9) | Deep Ensemble | 0.0 |
| PP MMD (grid) | Linearly Separable | Latent (γ=0.9) | Linear | 0.0 |
| PP MMD (grid) | Linearly Separable | Latent (γ=0.9) | MLP | 0.044 |
| PP MMD (grid) | Moons | ClapROAR | Deep Ensemble | 0.128 |
| PP MMD (grid) | Moons | ClapROAR | Linear | 0.072 |
| PP MMD (grid) | Moons | ClapROAR | MLP | 0.0 |
| PP MMD (grid) | Moons | Gravitational | Deep Ensemble | 0.2 |
| PP MMD (grid) | Moons | Gravitational | Linear | 0.1525 |
| PP MMD (grid) | Moons | Gravitational | MLP | 0.0 |
| PP MMD (grid) | Moons | Latent (γ=0.5) | Deep Ensemble | 0.22 |
| PP MMD (grid) | Moons | Latent (γ=0.5) | Linear | 0.0 |
| PP MMD (grid) | Moons | Latent (γ=0.5) | MLP | 0.0 |
| PP MMD (grid) | Moons | Latent (γ=0.9) | Deep Ensemble | 0.276 |
| PP MMD (grid) | Moons | Latent (γ=0.9) | Linear | 0.035 |
| PP MMD (grid) | Moons | Latent (γ=0.9) | MLP | 0.002 |
| PP MMD (grid) | Overlapping | ClapROAR | Deep Ensemble | 0.296 |
| PP MMD (grid) | Overlapping | ClapROAR | Linear | 0.19 |
| PP MMD (grid) | Overlapping | ClapROAR | MLP | 0.374 |
| PP MMD (grid) | Overlapping | Gravitational | Deep Ensemble | 0.446 |
| PP MMD (grid) | Overlapping | Gravitational | Linear | 0.324 |
| PP MMD (grid) | Overlapping | Gravitational | MLP | 0.518 |
| PP MMD (grid) | Overlapping | Latent (γ=0.5) | Deep Ensemble | 0.344 |
| PP MMD (grid) | Overlapping | Latent (γ=0.5) | Linear | 0.004 |
| PP MMD (grid) | Overlapping | Latent (γ=0.5) | MLP | 0.49 |
| PP MMD (grid) | Overlapping | Latent (γ=0.9) | Deep Ensemble | 0.362 |
| PP MMD (grid) | Overlapping | Latent (γ=0.9) | Linear | 0.052 |
| PP MMD (grid) | Overlapping | Latent (γ=0.9) | MLP | 0.412 |